Effizienz am Arbeitsplatz steht bei der Arbeit mit CAD ganz oben.
(Quelle: ZWSOFT)
Die Zeit, die man mit Basics einsparen kann, ließe sich gut für wirkliche Designaufgaben verwenden, um so den Output zu steigern. Ein gutes CAD-Programm sollte einen also nicht warten lassen, sondern dazu beitragen, effizienter zu arbeiten. So wie ZWCAD 2021 es ermöglicht.
ZWCAD 2021 ist effizient wie nie
ZWCAD hat mit der Version 2021 eine neue Grafik-Engine erhalten. Das betrifft vor allem die Schnelligkeit des Programms. Alle nötigen Effizienztests im Vorfeld wurden von ZWSOFT auf Rechnern durchgeführt mit den Systemspezifikationen Windows 10 Pro, Intelprozessor Core i5-8500 CPU @ 3.00GHz, 8 GByte RAM und 6.070 Mbyte Grafikkarte.
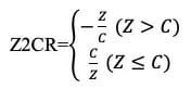
1.502 Beispielzeichnungen, deren Größe zwischen zehn und 350 MByte liegt, wurden nacheinander in ZWCAD 2021 Official, ZWCAD 2020 SP2 (dem direkten Vorgänger) und in AutoCAD 2020 sowie GCAD 2020 geöffnet. Für diese Tests hat man einen Wert namens Z2CR erstellt (ZWCAD 2021 Official-to Counterpart/Previous Version Ratio), um die Ergebnisse zu verdeutlichen:
(Bild: ZWSOFT)
Z2CR: ZWCAD 2021 Official-to-Counterpart/Previous Version Ratio (Integer) Z: Zeit zum Öffnen einer bestimmten Zeichnung in ZWCAD 2021 Official C: Zeit zum Öffnen einer bestimmten Zeichnung in 2020 SP2, AutoCAD 2020 und GCAD 2020
Wenn Z nahe bei C liegt, ist Z2CR annähernd gleich 1/-1, was bedeutet, dass es kaum einen Unterschied beim Öffnen der Datei zwischen den beiden Vergleichsprodukten gibt. Um den Test so objektiv wie möglich zu gestalten, wurden die Daten gelöscht, deren Z2CR gleich 1 oder -1 sind. (siehe Aufmacherbild)
Im Release 2021 lassen sich auch grundlegende Befehle wie COPY, MOVE, ARRAY und COPYCLIP schneller öffnen. Das zeigt das untenstehende Diagramm (Bild 2), das auf Basis gesammelter Beispielzeichnungen von ZWCAD-Benutzern erstellt wurde.
(Bild 2: Effizienz beim Öffnen einer Zeichnung vergleichen. Bild: ZWSOFT)
Offensichtlich kostet die Ausführung grundlegender Befehle in ZWCAD 2021 Official deutlich weniger Zeit als in den Vergleichsprogrammen. Die Effizienz von COPYCLIP in ZWCAD 2021 wurde zudem verbessert, was auch die Arbeitsgeschwindigkeit bei einfachen Anwendungen deutlich verkürzt.
ZWCAD 2021: Neue Funktionen
XRefs verwalten und zuschneiden
Externe Referenzen (XRefs) können in verschiedenen Dateiformaten vorliegen. Das macht es kompliziert, sie zu verwalten. Vor allem deshalb, weil es für jeden Dateityp einen eigenen Manager gibt. In ZWCAD 2021 gestaltet sich die XRef-Verwaltung nun viel einfacher: In einem einzigen Menü kann man Dateien in der Vorschau anzeigen und hervorheben, Dateiinformationen überprüfen, den Dateipfad ändern usw. Ebenso wurden Clip-bezogene Befehle wie X-CLIP integriert. Mit CLIP lassen sich Blöcke, XRefs, Bilder, Unterlagen und Ansichtsfenster ausschneiden. Außerdem lässt sich die Clipgrenze mit Griffen skalieren und X-CLIP durch Klicken auf den Pfeil umkehren. (Bild 3)
(Bild 3: Manager für externe Referenzen, kurz XRef. Bild: ZWSOFT)
Transparenz
Manchmal ist es unvermeidlich, dass sich Designelemente überlappen. Um einen klaren Überblick zu behalten, kann man nun die Transparenz von Objekten, Schraffuren, Referenzen usw. einzeln oder gemeinsam spezifizieren, wenn sie sich auf demselben Layer befinden. (Bild 4)
(Bild 4: Objekte unterscheiden mit der Funktion „Transparenz”. Bild: ZWSOFT)
Unterschiedliche Layereigenschaften
Mal angenommen, einige Objekte sind zum Plotten hervorzuheben, ohne dabei das Design im Modellbereich zu beeinflussen. Mit dem neuen Ansichtsfenster-Layer lassen sich für jedes Ansichtsfenster bestimmte Layereigenschaften (Layerfarbe, Linientyp, Linienstärke usw.) bestimmen. Darüber hinaus kann man VpLayer mithilfe von Filtern schnell auswählen und zurücksetzen.
Tabellen- und Feldformeln
Der Wert von Tabellenzellen mit Formeln und mathematischen Ausdrücken lässt sich in der aktuellen Version jetzt summieren, multiplizieren usw. Zudem stehen Formeln im Dialogfeld zur Verfügung. Mit dem Befehl REGEN kann man mithilfe von Formeln berechnete Felder aktualisieren.
Individuelle Mausaktionen
Wenn die Systemvariable SHORTCUTMENU auf 0 steht, lassen sich sowohl Doppelklickaktionen als auch Maustasten anpassen. Im Dialogfeld CUI kann man das Ergebnis von Mausaktionen durch den gewünschten Befehl ersetzen.
Mit „CAD Pockets” (früher ZWCAD Touch) lässt sich der flexible Arbeitsablauf zwischen Desktop und mobilen Geräten effizient steuern. Die umfangreiche CAD-App bietet sowohl eine mobile als auch eine cloudbasierte Lösung an. So lassen sich DWG-Zeichnungen über einen Onlinespeicher jederzeit und an jedem Ort anzeigen, um zu kommentieren, mit Kollegen zu teilen oder zu diskutieren.
Stand: 16.12.2025
Es ist für uns eine Selbstverständlichkeit, dass wir verantwortungsvoll mit Ihren personenbezogenen Daten umgehen. Sofern wir personenbezogene Daten von Ihnen erheben, verarbeiten wir diese unter Beachtung der geltenden Datenschutzvorschriften. Detaillierte Informationen finden Sie in unserer Datenschutzerklärung.
Einwilligung in die Verwendung von Daten zu Werbezwecken
Ich bin damit einverstanden, dass die WIN-Verlag GmbH & Co. KG, Chiemgaustraße 148, 81549 München einschließlich aller mit ihr im Sinne der §§ 15 ff. AktG verbundenen Unternehmen (im weiteren: Vogel Communications Group) meine E-Mail-Adresse für die Zusendung von redaktionellen Newslettern nutzt. Auflistungen der jeweils zugehörigen Unternehmen können hier abgerufen werden.
Der Newsletterinhalt erstreckt sich dabei auf Produkte und Dienstleistungen aller zuvor genannten Unternehmen, darunter beispielsweise Fachzeitschriften und Fachbücher, Veranstaltungen und Messen sowie veranstaltungsbezogene Produkte und Dienstleistungen, Print- und Digital-Mediaangebote und Services wie weitere (redaktionelle) Newsletter, Gewinnspiele, Lead-Kampagnen, Marktforschung im Online- und Offline-Bereich, fachspezifische Webportale und E-Learning-Angebote. Wenn auch meine persönliche Telefonnummer erhoben wurde, darf diese für die Unterbreitung von Angeboten der vorgenannten Produkte und Dienstleistungen der vorgenannten Unternehmen und Marktforschung genutzt werden.
Meine Einwilligung umfasst zudem die Verarbeitung meiner E-Mail-Adresse und Telefonnummer für den Datenabgleich zu Marketingzwecken mit ausgewählten Werbepartnern wie z.B. LinkedIN, Google und Meta. Hierfür darf die Vogel Communications Group die genannten Daten gehasht an Werbepartner übermitteln, die diese Daten dann nutzen, um feststellen zu können, ob ich ebenfalls Mitglied auf den besagten Werbepartnerportalen bin. Die Vogel Communications Group nutzt diese Funktion zu Zwecken des Retargeting (Upselling, Crossselling und Kundenbindung), der Generierung von sog. Lookalike Audiences zur Neukundengewinnung und als Ausschlussgrundlage für laufende Werbekampagnen. Weitere Informationen kann ich dem Abschnitt „Datenabgleich zu Marketingzwecken“ in der Datenschutzerklärung entnehmen.
Falls ich im Internet auf Portalen der Vogel Communications Group einschließlich deren mit ihr im Sinne der §§ 15 ff. AktG verbundenen Unternehmen geschützte Inhalte abrufe, muss ich mich mit weiteren Daten für den Zugang zu diesen Inhalten registrieren. Im Gegenzug für diesen gebührenlosen Zugang zu redaktionellen Inhalten dürfen meine Daten im Sinne dieser Einwilligung für die hier genannten Zwecke verwendet werden.
Recht auf Widerruf
Mir ist bewusst, dass ich diese Einwilligung jederzeit für die Zukunft widerrufen kann. Durch meinen Widerruf wird die Rechtmäßigkeit der aufgrund meiner Einwilligung bis zum Widerruf erfolgten Verarbeitung nicht berührt. Um meinen Widerruf zu erklären, kann ich als eine Möglichkeit das unter https://kontakt.vogel.de/de/win abrufbare Kontaktformular nutzen. Sofern ich einzelne von mir abonnierte Newsletter nicht mehr erhalten möchte, kann ich darüber hinaus auch den am Ende eines Newsletters eingebundenen Abmeldelink anklicken. Weitere Informationen zu meinem Widerrufsrecht und dessen Ausübung sowie zu den Folgen meines Widerrufs finde ich in der Datenschutzerklärung, Abschnitt Redaktionelle Newsletter.
Feinabstimmungen in ZWCAD 2021
Die Zeichnungen kann man sowohl in Dateien als auch auf Papier mit STB- oder CTB-Stil plotten. Für Feinabstimmungen überschreibt man die Layereigenschaften einfach im Ansichtsfenster, fügt einen Druckstempel hinzu und legt das Papierformat oder den Zeichnungsmaßstab usw. fest. Zeichnungen im Modellbereich und im Layout-Ansichtsfenster können in einer ein- oder mehrseitigen DWF-Datei oder einem Plotter veröffentlicht werden.
„Etransmit“ schließlich verbessert die effektive Zusammenarbeit mit den Kunden: ein einfacher Klick genügt und schon sammelt das Tool alle zugehörigen Zeichnungen, Bilder, XRefs, Schriftarten und andere Support Dateien, die man anhängen will, und zippt sie.